SIMBAD Astronomical Database
Informationen über V473 Cas
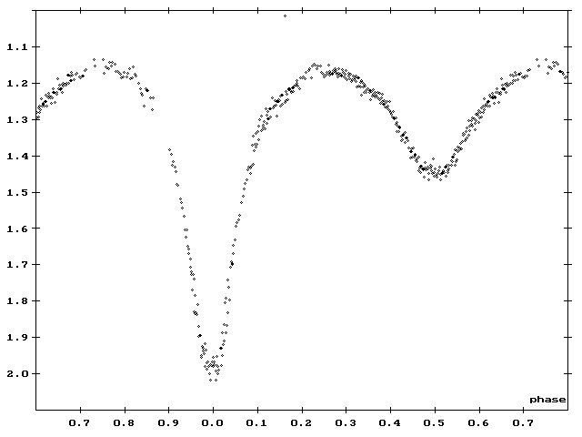
Typ: EB
Helligkeit: 13.3 -14.0 mag
Gültige Elemente:
Min I = HJD 2450334.4400 +
0.41546073d x E
Quelle: IBVS 4669 (Frank/Moschner/Bastian)
Historie:
Stern ohne Elemente im GCVS 85! Wurde von Peter Frank als "Katalogleiche"
entdeckt
und erstmals im Jahre 1989 fotografisch beobachtet ! CCD-Beobachtungen im September 1996
zeigen schnellen regelmäßigen Lichtwechsel mit Periode von ca. 10 Stunden. Nach Form
der Lichtkurve handelt es sich um einen EB-Stern. Die provisorisch ermittelte Periode
von 0,4157 d nach den ersten 3 Messungen bis zum 7.9.96 sollte für Ephemeridenrechnung
der nächsten 4 Wochen reichen. Am 13. Okt. 96 die Periode verbesert = 0,41546 d!
Herbst 1998 = die Elemente Mo 1998 sind für Veröffentlichung in IBVS vorgesehen.
Fall im Jahre 1999 abgeschlossen.
Cross-ID:
GSC 3679_1417
SON 8461
Entdeckung: Hoffmeister C.
Jahr:
1964
References:
Hoffmeister C., 1965, Astronomische Nachrichten 288, 67
Hoffmeister C., 1964, Mitteilungen über Veränderliche Sterne (Sonneberg) 2, 99
Meinunger I., 1968, Mitteilungen über Veränderliche Sterne (Sonneberg) 5, 12
Gessner H., Meinunger I., 1973, Veröffentlichungen der Sternwarte in Sonneberg, 7 (6),
619
Kholopov P.N. et al., 1985, General Catalogue of Variable Stars, 4th Edition, Moscow
Simbad Databases, CDS, Strasbourg
Gesamt-Lichtkurve nach obigen Elementen
V-Stern = GSC 3679_2081



No. Observer T* W
JD hel. O -
C Lit (Tabelle aus
IBVS 4669)
2400000+
------------------------------------------------------------------------------------------------------------------------------------------
1 W. Moschner P 1
29086.4960 -0.0359
this paper
2 W. Moschner P 1
29106.4170 -0.0570
this paper
3 W. Moschner P 1
29108.5170 -0.0343
this paper
4 W. Moschner P 1
29553.4580 -0.0517
this paper
5 W. Moschner P 1
30259.5120 -0.0733
this paper
6 W. Moschner P 1
36604.2810 -0.0128
this paper
7 W. Moschner P 1
38044.2840 +0.0033
this paper
8 I. Meinunger P 1
38286.4970 +0.0027
VSS 7 (6) 1973
9 W. Moschner P 1
38291.4910 +0.0112
this paper
10 I. Meinunger P 1
38296.4670 +0.0017
VSS 7 (6) 1973
11 I. Meinunger P 1
38318.4830 -0.0048
VSS 7 (6) 1973
12 I. Meinunger P 1
38322.6190 -0.0018
VSS 7 (6) 1973
13 I. Meinunger P 1
38325.5390 -0.0204
VSS 7 (6) 1973
14 W. Moschner P 1
38327.6310 +0.0061
this paper
15 I. Meinunger P 1
38328.4440 -0.0118
VSS 7 (6) 1973
16 W. Moschner P 1
38339.2360 -0.0218
this paper
17 W. Moschner P 1
38343.4280 +0.0156
this paper
18 W. Moschner P 1
38372.5010 +0.0063
this paper
19 W. Moschner P 1
38640.4430 -0.0238
this paper
20 W. Moschner P 1
39054.4780 +0.0045
this paper
21 W. Moschner P 1
39063.3790 -0.0269
this paper
22 W. Moschner P 1
39414.4550 -0.0152
this paper
23 W. Moschner P 1
40127.4190 +0.0182
this paper
24 W. Moschner P 1
45607.3480 +0.0202
this paper
25 W. Moschner P 1
45940.5400 +0.0127
this paper
26 W. Moschner P 1
46685.4560 +0.0076
this paper
27 P. Frank
F 5 47776.4540 +0.0057
this paper
28 P. Frank
E: 5 50043.4058 -0.0040
this paper
29 P. Frank
E: 5 50043.6116 -0.0059
this paper
30 W. Moschner E 10
50330.4931 +0.0000
this paper
31 W. Moschner E 10
50332.5719 +0.0015
this paper
32 W. Moschner E 10
50334.4400 +0.0000
this paper
33 W. Moschner E 10
50368.3019 +0.0019
this paper
34 W. Moschner E 10
50369.3390 +0.0003
this paper
35 W. Moschner E 10
50376.3968 -0.0047
this paper
36 F. Agerer E
10 50465.3090 -0.0011
this paper
36 P. Frank
E 10 50604.4905 +0.0010
this paper
37 P. Frank
E 10 50652.4836 +0.0084
this paper
38 W. Moschner E 10
50668.4700 -0.0004
this paper
39 P. Frank
E 10 50672.4121 -0.0052
this paper
40 P. Frank
E 10 50673.4566 +0.0006
this paper
41 W. Moschner E 10
50685.5020 -0.0023
this paper
42 W. Moschner E: 5
51041.5544 +0.0002
this paper
43 W. Moschner E 10
51079.3588 -0.0023
this paper
************************************************************************************************
*) P denotes minimum light on photographic single plates, F minima on photographic
(serial) plates (Sternwarte Sonneberg) and E minima about CCD measurement.
Those marked with ":" got reduced weight.